学校日記

【2年生】算数クイズ

公開日
2020/05/07
更新日
2020/05/07

2年生

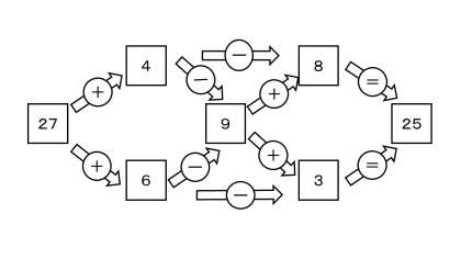
ゴールデンウィークのうちに問だいはとけましたか?

きょうの問だいは,かだいにものっている問だいを先生もつくっていみました。
ぜひといてみてください。

また,自分たちでもつくってみておうちの人に問だいをだしてみてもおもしろいですね。