離任教職員および離任式のお知らせ
- 公開日
- 2018/03/23
- 更新日
- 2018/03/23
学校の様子
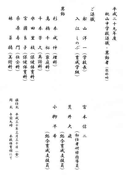
平成29年度 桃山中学校 離任教職員をお知らせします。
★離任式
【日時】平成30年3月30日(金)9:00〜
【場所】本校体育館
学校教育目標・経営方針
京都市立桃山中学校「学校いじめの防止等基本方針」
部活動
小中一貫教育構想図
校則について
2025年度
2024年度
2023年度
2022年度
2021年度
2020年度
2019年度
2018年度
2017年度
2016年度
2015年度
2014年度
2013年度
2012年度
2011年度
2010年度