『近畿中学校駅伝競争大会』 男子8位入賞!
- 公開日
- 2018/12/04
- 更新日
- 2018/12/04
校長室から
『2018 近畿中学校駅伝競走大会』が、12月1日(土)に大阪の万博記念公園陸上競技場で行われました。そこで本校男子が、58分19秒で30校中の第8位に入賞しました。おめでとうございます。また、区間上位では3区3Kmで3年生のK・R君が第3位(9分30秒)に入りました。お疲れ様でした。
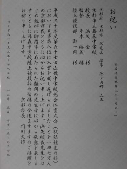
更に驚いたことに、3日(月)に京都市長様から入賞のお祝い電報(上の写真)が学校に届きました。“心を込めたタスキリレー”に拍手です!
保護者の皆様、遠方まで駆け付けていただいてのご声援、大変心強かったです。ありがとうございました。