3年数学です。元気に過ごしていますか?
- 公開日
- 2020/05/08
- 更新日
- 2020/05/08
3年生
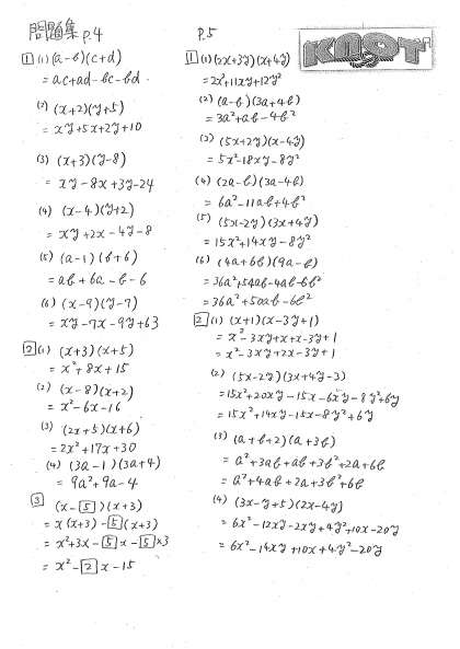
画像は,課題の問題集4〜5ページの答です。
動画は,因数分解の1回目になります。
http://www.edu.city.kyoto.jp/hp/hachijo-c/suugaku13.mp4
3年生
画像は,課題の問題集4〜5ページの答です。
動画は,因数分解の1回目になります。
http://www.edu.city.kyoto.jp/hp/hachijo-c/suugaku13.mp4
2026年度
2025年度
2024年度
2023年度
2022年度
2021年度
2020年度
2019年度
2018年度
2017年度
2016年度
2015年度
2014年度
2013年度
2012年度
2011年度
2010年度
2009年度
2008年度